来源:宝创日期:2023-07-06(1433)


正常情况:
生理情况下MPO催化CI-1和H2O2反应生成次氯酸等反应性物质和多种自由基杀灭病原微生物,参与机体天然免疫应答过程。
病理情况:
当机体处于炎症、氧化应激状态时,MPO可催化反应生成过量的氧化剂,如次氯酸、3-氯化酪氨酸等,当超过机体抗氧化剂的防御反应时,就会导致氧化应激和氧化性的组织损伤,参与多种疾病的发生[2]。
MPO与心血管疾病
研究表明MPO与心血管疾病(CVD)之间存在关联,包括冠心病、充血性心力衰竭、肺动脉高压、心肌缺血、再灌注相关损伤、心律失常和静脉血栓形成等[3]。
在CVD的发病初期及动脉粥样硬化急性复合病变期,MPO及其介导的炎症途径促进了动脉粥样硬化的形成。因此,MPO可以作为预测CVD的发生发展、预后及评估危险分层的指标。MPO是一种新的预测冠心病炎症的标志物,在判断急性冠脉综合征预后方面属于重要的指标,能够在一定程度上预测35岁以上健康人群未来发生心血管疾病的概率。同时也是一种血管炎症标志物[4]。

图1 MPO参与CVD的致病机制[14]
MPO与急性冠状动脉综合征(ACS)
MPO是ACS患者血管不良事件(MACE)独立预测因子
Brennan等评估了604名胸痛患者MPO浓度水平与心血管不良事件(MACE)发生风险关系,与cTnI相比正常水平的MPO发生MACE漏诊率更低(44.4%>9.3%)[5];另外,Kaya等研究发现,血浆MPO水平是MACE的独立预测因子[6]。

图2 长期无MACE生存的卡普兰-迈耶曲线
MPO可用于ACS的早期诊断
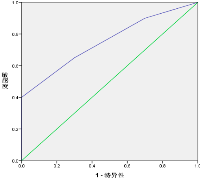
MEHTA等选取了120例受试者,其中75例诊断为ACS,以11.87U/mL作为MPO的临界值,其敏感性达87.O%,特异性达97.3%,MPO和高敏肌钙蛋白T(hs-cTnT)的ROC曲线下面积分别为0.971和0.797[7]。

图3 MPO和hs-cTnT的ROC曲线比较
ASILJ等评估了MPO与cTnI对ACS的诊断价值,他们检测了114例胸痛及ACS患者的MPO及cTnI,结果显示MPO及cTnI对ACS的诊断及治疗均有着重要的意义,MPO与ACS呈明显正相关[8]
MPO对ACS进行风险预测和危险分层
研究显示仅有13%的不稳定型心绞痛患者cTnI浓度升高。但在冠状动脉的急性感染状态就有MPO的升高,而急性感染要早于心肌损伤发生[10]。因此,MPO的释放是心肌损伤的先前条件而不是它的结果,MPO释放要早于心肌损伤,即使在微血管完全阻塞之前,MPO浓度升高可以诊断不稳定型冠状动脉斑块形成。

图4 联合PN、MPO和hs-cTnT检测预测急性心肌梗死不良心血管事件的曲线下面积[9]

图5 4组血清MPO浓度比较柱状图[10]
MPO水平对PCI治疗患者住院期间MACE的预测价值
经皮冠状动脉介入治疗(PCI)术后4h的外周血MPO水平绘制ROC曲线结果显示,在MPO取值794ng/ml时诊断指数可至1.683,此时对应的AUC值为0.841,灵敏度为86.32%、特异度为81.98%。提示MPO 在不良心血管结局事件中的异常表达可能促进了心肌梗塞、恶性心律失常等的发生,且MPO高水平患者存活率远低于低水平患者[11]。

图6 MPO水平预测患者MACE的ROC 曲线

图7 不同MPO水平患者 Kaplan-Meier 生存曲线[12]
MPO参与多指标联合检测的意义
此前研究显示,检测MPO为阴性的患者与检测cTnI阴性的患者相比,MPO有更低的漏诊率。早期胸痛患者检测cTnI值可能为阴性,但监测MPO值升高,可预测其心血管疾病风险显著增加。此外在MPO、H-FABP和cTnI联合检测在急性冠脉综合症中应用专家共识(2018)中指出:MPO/H-FABP联合用于评估AMI溶栓治疗或PCI术后的MACE风险。
MPO与肺癌、结直肠癌、白血病、糖尿病肾病以及老年痴呆等都有紧密相关性,随着医学的不断发展MPO的作用机制研究将不断深入,很可能会发现其他一些与疾病易感性有关,从而使人们更清楚的认识其相关疾病的发生、发展,以便对这些人群采取有效的预防和治疗措施[13]。

髓过氧化物酶(MPO)检测试剂盒用于临床体外定量检测人血清、血浆或全血中的MPO含量,临床上主要应用于心血管系统炎症的辅助诊断
报告时间短,10min即可报告结果
操作简便,无需专业技术人员
常温储运,有效期长
仪器平台:DFIA100 DFIA200 DFIA300

配套试剂

参考文献
[1] 王慧洁,丁世芳.髓过氧化物酶与急性冠状动脉综合征的关系[J].中国动脉硬化杂志,2013,21(10):955-960.
[2] 韩莉莉,沈晓丽.髓过氧化物酶及其基因多态性的研究进展[J].医学综述,2007(17):1288-1290.
[3] Ndrepepa G.Myeloperoxidase-A bridge linking inflammation and oxidative stress with cardiovascular disease [J].Clin Chim Acta,2019,493:36-51.
[4] 陈发秀,邱元芝.髓过氧化物酶与心血管疾病[J].实用老年医学,2011,25(02):162-165.
[5] Brennan ML,Penn MS,Van Lente F,et al. Prognostic value of myeloperoxidase in patients with chest pain [J]. N Engl J Med ,2003,349(17):1595-1604.
[6] Kaya MG,Yalcin R,Okyay K,et al.Potential Role of Plasma Myeloperoxidase Level in Predicting Long-Term Outcome of Acute Myocardial Infarction[J].Tex Heart Inst J,2012,39(4): 500-506.
[7] MEHTA M D,MARWAH S A,GHOSH S,et a1.A synergistic role of myeloperoxidase and high sensitivity troponin T in the early diagnosis of acute coronary syndrome[J].Indian J Clin Biochem,2016,31(1):75—80.
[8] ASILJ M,STARCEVIC B,VOLARIC M,et a1.Diagnostic value of MPO in patients admitted for suspected acute coronary syndrome—a study of adult in Mostar,Bosnia and HerzegoVina[J].Coll Antropol,2014,38(1):213-217.
[9] 徐高峰等. 血清PN、MPO和hs-cTnT预测急性心肌梗死患者心血管不良事件的临床价值.河北医药 6(2019):4.
[10] 熊纭辉等. 髓过氧物酶在冠状动脉粥样硬化性心脏病诊断和预后中的意义[J].岭南心血管病杂志,2013,19(4):4.
[11] 唐雪花等. MPO水平对PCI治疗患者住院期间主要不良心血管事件预测价值[J].湖南师范大学学报:医学版,2016,13(6):4.
[12] 茹松超等.髓过氧化物酶和生长分化因子15对ST段抬高型心肌梗死的预后价值[J].2020.
[13] 汤红英等.髓过氧化物酶相关疾病的研究进展[J].新疆医科大学学报,2009,32(03):255-258.
[14] Nicholls Stephen J,Hazen Stanley L. Myeloperoxidase and cardiovascular disease.[J]. Arteriosclerosis, thrombosis, and vascular biology,2005,25(6).